在顯示領域的應用方面,激光技術發展至今,散斑問題竟成最大攔路虎。其嚴重影響顯示畫面的最終效果,導致激光技術優勢不能有效發揮并投入使用。
散斑是什么原因造成的?有無解決辦法?對人的眼睛傷害有多大?光峰科技ALPD激光技術如何從源頭上抑制散斑?本文將一一剖析。
【散斑是什么】
由激光光束發出的光,經粗糙表面反射或透射后會形成無數獨立的散射子波,這些子波在空間傳播過程中相干疊加,會在空間形成隨機無規則分布的亮斑和暗斑,或通過成像系統在像平面形成干涉圖樣,這樣的干涉圖樣即稱為散斑。

楊氏雙縫干涉原理示意圖
上圖就是著名的楊氏雙縫干涉原理示意圖,我們可以看到,最右邊出現規范不一致的亮斑和暗斑,就是散斑現象。由于干涉圖像是明暗相間的條紋,所以最終無窮個干涉圖像在人眼視網膜上疊加形成的圖像,相當于是在清晰圖像前加了一個霧化的透明玻璃而生成的圖像,極大影響畫質和觀影體驗。由于人眼看起來,仿佛被隔了一層磨砂玻璃(如下圖),因此散斑現象也稱“毛玻璃”現象。

你可能看到的散斑畫面
【為什么會產生散斑】
激光,是目前人類可以實現的最亮的人造光源,從被用作照明光源而逐漸進入人們的視野。激光具有單色性、相干性和方向性三大特點,相比于傳統的燈泡、氙燈等光源,激光的亮度更高、能效更高、色彩單色性好、結構尺寸小、壽命長,因有望成為照明顯示的理想光源而備受關注。
相干性,是指可以發生光線干涉現象的兩個不同光源。光的穩定干涉是需要相干光才能實現的。現代物理光學指出,只有兩列光波的頻率相同、相位差恒定、振動方向一致的相干光源,才能產生光的干涉。激光是在同一相干輻射場感生下產生的受激發射光,所以激光的相干性很好,這是激光的物理屬性。
對于普通的光源,若想產生相干性,是如何實現的呢?簡單來說,就是通過光學裝置將同一個光源發出的源波分為若干個子波,它們具有相同的頻率、相位差和偏振方向,從而可以產生干涉現象。這里,想強調的是:普通的光源想要產生光學干涉,是沒那么容易的。
目前常見的相干光源只有激光,所以在沒有特指的情況下,散斑一般指的就是激光散斑。
在顯示領域,相干性為激光帶來了傳輸中的高穩定性,體現在畫面上為高光效、高亮度、高色域,但也帶來了散斑問題。
形成散斑,需要滿足兩個條件:第一個是相干光,即能產生穩定干涉現象的光源(激光);第二個是平均起伏大于波長數量級的光學粗糙表面,日常生活中的墻壁、紙張、電影屏幕等均屬于光學粗糙表面。從下圖對比我們可以看到,散斑問題嚴重影響顯示畫質(a為散斑畫面,b為低散斑畫面)。
在激光顯示領域,散斑一直是困擾三色激光顯示技術架構的一個難以克服的困難,也是激光顯示界數年至今持續研究的重要課題。
【傳統有哪些解決辦法】
消除散斑一般有兩種思路,一種是從源頭消除,在光出來之前就將有散斑的光轉化成無散斑的光,這種方式需要較高的技術門檻,目前只有光峰ALPD激光技術可以做到;另一種是后期處理,在光出來之后,將不相關的多個散斑在空間或時間域里疊加,通過降低對比度來消除,也就是行業人常說“抖動”,這種方式無門檻限制,常見抖動方式有以下兩種:
1、光機抖動
目前某些三色激光投影就是通過投影技術解決三色激光散斑問題的,依靠搭載的LPU三色激光引擎,采用全新多維動態消散斑技術來克服散斑問題。然而該設備所謂的技術僅僅是在光機中增加了?個光學器件,該器件以?定的頻率在上下、左右兩個緯度震動,減少散斑的干擾。并不會完全消除散斑,還會增加噪音。同時因為有?個器件在?直物理抖動,整機也會出現更多的不穩定性,可能會降低投影儀的使用壽命。
2、幕布抖動
除投影技術外,消除投影儀散斑問題可以通過搭配價格昂貴的定制幕布來解決,定制的消散斑幕布是通過抖動幕布改變激光照射在屏幕的不同散射點,消除在激光光源下的屏幕塊狀散斑,使激光投影屏幕反射的圖像顏色看起來自然、豐富、亮度均勻、畫面清晰。但從實際效果來看,定制幕布的效果微乎及微,并不能完全解決散斑問題,實際上是被再消費了一次。
那么,光峰的ALPD激光技術,是如何做到從技術源頭克服散斑問題的呢?
【ALPD激光技術 目前攻克散斑難題的最優解】
光峰科技原創的ALPD激光技術,從產生散斑的根源——相干光入手,巧妙地引入納米發光稀土材料,發射大量非相干性光同時混合極少部分激光,來形成無散斑白光,做出了從源頭上消除激光的相干性的技術方案,不需要任何的附加措施,對系統無任何負面影響,而且兼容性好,成本低,可靠性高。
所以,光峰科技的ALPD激光技術方案從根本上解決激光的基因病——散斑問題,讓激光光源得以充分發揮獨有優勢,作為“超級心臟”為當前激光產品提供強大的光源技術支持,呈現清晰、逼真自然的畫質,為觀眾提供更為舒適、健康的光影體驗。

【ALPD激光 觀看更舒適】
與純三色激光不同,ALPD激光是經過特殊技術處理的激光,更接近自然界中的自然光譜,發出的光天生不會產生散斑,透過視網膜的光功率更低,更容易被眼球接受ALPD激光更接近自然界中的自然光譜,發出的光天生不會產生散斑,透過視網膜的光功率更低,更容易被眼球接受。
散斑感知及舒適等級劃分圖

![]()
【散斑是否對人眼有傷害】
答案是:會的。
當我們看向刺眼的太陽光,眼睛都睜不開,因此很容易可以意識到,強光對人眼是有傷害的。當人眼看向有散斑的圖樣時,也在人眼視網膜上形成散斑圖樣,即視網膜上會有強度隨機分布的亮斑和暗斑,則可以理解為,散斑可以對人眼造成不同程度的強光傷害。
我們來看一組數據。以DCI(Digital Cinema Initiatives)標準的白光為例,當RGB激光放映機、ALPD激光放映機在視網膜上產生平均強度為I0的光強時,人眼視網膜上不同區域的散斑強度分布如下圖(a)所示,從中可以看到,局部的視錐細胞需要承受9I0的光強。而如果為ALPD激光,則相干光成分較少,通過計算(附公式,詳見文末)可知ALPD激光的相干光成分不到RGB的1/5,因而該部分的視錐細胞只需承受2I0的光強,ALPD激光遠小于RGB激光的光強傷害,兩者約相差9倍。
9倍的強光傷害,你想感受一下嗎?↓

【小結】
在激光顯示領域,激光散斑這個攔路虎是客觀存在,我們需要做的,一是拿出正確的態度來對待,不論是為了更好的觀影體驗,還是為了降低散斑傷害風險,都需要想辦法去盡量降低激光散斑,而不要去回避它;二是堅持研究,尋找更有效更穩定更便宜的消散斑方式。如果散斑不需要解決,為何學術界還樂此不疲地研究?
ALPD激光技術,從源頭上消除散斑,真正做到天生無散斑,不僅更適合市場,還為觀眾提供更為舒適、健康的光影體驗,從而成為目前行業主流激光技術路線。
如今在激光顯示領域的發展中,行業各種技術方案百花齊放,殊途同歸都是為了消費者提供更好的視覺體驗,而各種技術路線相互促進,正是行業發展壯大的希望。
【附:散斑傷害計算公式】
已知:散斑在視網膜上的尺寸
求:造成傷害強度值
|
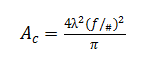
由文獻[1]可知,在帶鏡頭的CCD相機上成像的散斑的平均尺寸為:
其中f/#為相機鏡頭的f-number,即
其中f為鏡頭焦距,為鏡頭孔徑的直徑。
人眼結構類似于CCD相機,其焦距f為22.8mm [3],瞳孔直徑D為3.2mm[4]。因此,對于638nm、525nm和465 nm的紅綠藍光,人眼視網膜上的散斑平均尺寸分別為26.32μm2、17.82μm2和13.98μm2在人眼視網膜中央凹區域,視錐細胞(感光細胞)的平均密度為191000mm-2即視網膜上單個像素點的平均尺寸為5.24μm2,因此單個散斑平均可以覆蓋3~5個視錐細胞。
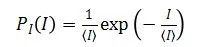
在激光散斑成像中,散斑強度是一個隨機量,通過Goodman的“隨機行走”理論[2],可以獲得散斑強度的概率密度函數。在單個散斑平均覆蓋3~5個視錐細胞的情況下,視網膜感受到的散斑強度的概率密度函數為圖5所示的負指數函數[2],其概率密度函數為:
其中(I)表示散斑的平均強度,即同功率非相干光到達視網膜時的光強。
圖5. 散斑強度測試結果的直方圖, 實線表示負指數函數[2]
在實際應用中,我們更關心散斑強度超過一定閾值的概率,該概率為:
從公式(4)可以看出,視網膜上某處感光細胞的散斑強度有5%的概率超過3倍平均強度,有0.01%的概率超過9倍平均強度,當散斑強度超過安全限值,將會導致該處感光細胞的損傷。
引用: [1]S.Roelandt, et al.Standardized speckle measurement method matched to human speckle perception in laser projection systems. Optics Express. 2012, 20(8): 8770-8783. [2]J. W. Goodman. Speckle Phenomena in Optics: Theory and Applications. 2006. [3] W. J. Smith. Modern Optical Engineering. New York: McGraw-Hill International Book Co, 1966. [4]J. Pokorny and V. C. Smith. How much light reaches the retina. Documenta Ophthalmologica Proceedings Series. 1997, 59: 491-511.
|